欢迎大家来到IT世界,在知识的湖畔探索吧!
OFDM的基本原理
我们知道,OFDM技术的推出其实是为了提高载波的频谱利用率,或者是为了改进对多载波的调制,它的特点是各子载波相互正交,使扩频调制后的频谱可以相互重叠,从而减小了子载波间的相互干扰。
在单载波系统中,单个衰落或者干扰可能导致整个链路不可用,但在多载波的OFDM系统中,只会有一小部分载波受影响。此外,纠错码的使用还可以帮助其恢复一些载波上的信息。通过合理地挑选子载波位置,可以使OFDM的频谱波形保持平坦,同时保证了各载波之间的正交。
时域上的波形分析
OFDM的”O”代表着”正交”,那么就先说说正交吧。
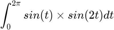
首先说说最简单的情况,sin(t)和sin(2t)是正交的。
如下证明sin(t)·sin(2t)在区间[0,2π]上的积分
欢迎大家来到IT世界,在知识的湖畔探索吧!为0,
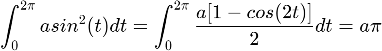
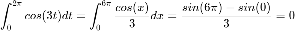
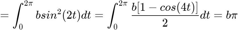
根据积化和差公式,
得到,
得到,

根据三角函数积分公式,



所以:

用图形的方式理解正交性,
在下面的图示中,在[0,2π]的时长内,采用最易懂的幅度调制方式传送信号:
sin(t)传送信号a,因此发送a·sin(t),
发送a信号的sin(t)
sin(2t)传送信号b,因此发送b·sin(2t)。
发送b信号的sin(2t)
其中,sin(t)和sin(2t)的用处是用来承载信号,是收发端预先规定好的信息,在本文中一律称为子载波;
调制在子载波上的幅度信号a和b,才是需要发送的信息。
因此在信道中传送的信号为a·sin(t)+b·sin(2t)。
在信道中传送的叠加信号a·sin(t)+b·sin(2t)
在接收端,分别对接收到的信号分别乘以sin(t)和sin(2t)并在[0,2π]的时长内积分,就可以得到a和b了。
假设f(t)=a·sin(t)+b·sin(2t),
f(t)·sin(t)=[a·sin(t)+b·sin(2t)]·sin(t)的波形如下:
[a·sin(t)+b·sin(2t)]·sin(t)的波形


根据二倍角公式,

f(t)·sin(t)=[a·sin(t)+b·sin(2t)]·sin(2t)的波形如下:
[a·sin(t)+b·sin(2t)]·sin(2t)的波形


发送和接收的流程框图
上面的图示虽然简单,但是却是所有复杂的基础。
1.1 下一步,将sin(t)和sin(2t)扩展到更多的子载波序列{sin(2π·Δf·t),sin(2π·Δf·2t),sin(2π·Δf·3t),…,sin(2π·Δf·kt)} (其中k=16,256,1024等),应该是很好理解的事情。其中,2π是常量;Δf是事先选好的载频间隔,也是常量。1t,2t,3t,…,kt保证了正弦波序列的正交性。
1.2 再下一步,将cos(t)也引入。
容易证明,cos(t)与sin(t)是正交的,也与整个sin(kt)的正交族相正交。
同样,cos(kt)也与整个sin(kt)的正交族相正交。
因此发射序列扩展到{sin(2π·Δf·t),sin(2π·Δf·2t),sin(2π·Δf·3t),…,sin(2π·Δf·kt),cos(2π·Δf·t),cos(2π·Δf·2t),cos(2π·Δf·3t),…,cos(2π·Δf·kt)}也就顺理成章了。
1.3 经过前两步的扩充,选好了2组正交序列sin(kt)和cos(kt),这只是传输的”介质”。
真正要传输的信息还需要调制在这些载波上,即sin(t),sin(2t),…,sin(kt)分别幅度调制a1,a2,…,ak信号,cos(t),cos(2t),…,cos(kt)分别幅度调制b1,b2,…,bk信号。
这2n组互相正交的信号同时发送出去,在空间上会叠加出怎样的波形呢?做简单的加法如下:



…





…

为了方便进行数学处理,上式有复数表达形式,如下:

上面的公式可以这样看:
每个子载波序列都在发送自己的信号,互相交叠在空中,最终在接收端看到的信号就是f(t)。
接收端收到杂糅信号f(t)后,在每个子载波上分别作相乘后积分的操作,就可以取出每个子载波分别承载的信号了。
上面1.1-1.3的扩展,可如下图所示:
时域上的OFDM系统图
LTE子载波的间隔Δf=15kHz,一个OFDM symbol的发送时间是66.7us,可以发现,15kHz*66.67us=1,即基带上一个OFDM symbol的发送时间正好发送一个一次谐波的完整波形。
对于10M的LTE系统,采用的是1024个子载波,但是只有中间600个(不含最中间的直流)子载波被用于传送数据。
在一个OFDM symbol的时间内(即66.67us),靠近中间的两个一次谐波传输一个完整波形,再靠外一点的两个二次谐波传输两个完整波形,以此类推至最外面的两个300次谐波传输了300个完整的波形。
在这66.67us内,600个子载波互相正交,其上分别承载了600个复数信号。
免责声明:本站所有文章内容,图片,视频等均是来源于用户投稿和互联网及文摘转载整编而成,不代表本站观点,不承担相关法律责任。其著作权各归其原作者或其出版社所有。如发现本站有涉嫌抄袭侵权/违法违规的内容,侵犯到您的权益,请在线联系站长,一经查实,本站将立刻删除。 本文来自网络,若有侵权,请联系删除,如若转载,请注明出处:https://itzsg.com/108741.html