求斐波那契数列(Fibonacci Numbers)算法居然有9种,你知道几种?

求斐波那契数列(Fibonacci Numbers)算法居然有9种,你知道几种?By LongLuo 斐波那契数列 Fibonacci sequence 又称黄金分割数列 因数学家莱昂纳多 斐波那契 Leonardoda Fibonacci 以兔子繁殖为例子而引入 故又称为 兔子数列 指的是这样一个数列 这个数列从第

欢迎大家来到IT世界,在知识的湖畔探索吧!

By LongLuo

斐波那契数列(Fibonacci sequence),又称黄金分割数列,因数学家莱昂纳多·斐波那契(Leonardoda Fibonacci)以兔子繁殖为例子而引入,故又称为“兔子数列”,指的是这样一个数列:

求斐波那契数列(Fibonacci Numbers)算法居然有9种,你知道几种?
欢迎大家来到IT世界,在知识的湖畔探索吧!

这个数列从第3项开始,每一项都等于前两项之和

斐波那契数的边界条件是求斐波那契数列(Fibonacci Numbers)算法居然有9种,你知道几种?求斐波那契数列(Fibonacci Numbers)算法居然有9种,你知道几种?。当时,每一项的和都等于前两项的和,因此有如下递推关系:

求斐波那契数列(Fibonacci Numbers)算法居然有9种,你知道几种?

算法一: 递归(recursion)

显而易见斐波那契数列存在递归关系,很容易想到使用递归方法来求解:

public class Solution { public static int fib(int n) { if (n <= 1) { return n; } return fib(n - 1) + fib(n - 2); } public static void main(String[] args) { System.out.println("1 ?= " + fib(1)); System.out.println("1 ?= " + fib(2)); System.out.println("2 ?= " + fib(3)); } }

欢迎大家来到IT世界,在知识的湖畔探索吧!

复杂度分析:

时间复杂度:求斐波那契数列(Fibonacci Numbers)算法居然有9种,你知道几种?,可见是指数级的。


我们可以写出其实现
递归树,如下所示:

欢迎大家来到IT世界,在知识的湖畔探索吧! fib(5) / \ fib(4) fib(3) / \ / \ fib(3) fib(2) fib(2) fib(1) / \ / \ / \ fib(2) fib(1) fib(1) fib(0) fib(1) fib(0) / \ fib(1) fib(0) 

可以看出其做了很多重复性的计算,因此对于数值比较大时,其性能是灾难性的。

空间复杂度:求斐波那契数列(Fibonacci Numbers)算法居然有9种,你知道几种?,函数递归栈。

算法二: 动态规划(dynamic programming)

因为斐波那契数列存在递推关系,因为也可以使用动态规划来实现。动态规划的状态转移方程即为上述递推关系,边界条件为求斐波那契数列(Fibonacci Numbers)算法居然有9种,你知道几种?求斐波那契数列(Fibonacci Numbers)算法居然有9种,你知道几种?

class Solution { public static int fib(int n) { /* Declare an array to store Fibonacci numbers. */ int f[] = new int[n + 2]; // 1 extra to handle case, n = 0 int i; /* 0th and 1st number of the series are 0 and 1*/ f[0] = 0; f[1] = 1; for (i = 2; i <= n; i++) { /* Add the previous 2 numbers in the series and store it */ f[i] = f[i - 1] + f[i - 2]; } return f[n]; } } 

复杂度分析:

时间复杂度:求斐波那契数列(Fibonacci Numbers)算法居然有9种,你知道几种?
空间复杂度:
求斐波那契数列(Fibonacci Numbers)算法居然有9种,你知道几种?

算法三:记录值的动态规划实现

针对算法二,我们可以将计算好的值存储起来以避免重复运算,如下所示:

欢迎大家来到IT世界,在知识的湖畔探索吧! // Initialize array of dp public static int[] dp = new int[10]; public static int fib(int n) { if (n <= 1) { return n; } // Temporary variables to store values of fib(n-1) & fib(n-2) int first, second; if (dp[n - 1] != -1) { first = dp[n - 1]; } else { first = fib(n - 1); } if (dp[n - 2] != -1) { second = dp[n - 2]; } else { second = fib(n - 2); } // Memoization return dp[n] = first + second; }

复杂度分析

时间复杂度:求斐波那契数列(Fibonacci Numbers)算法居然有9种,你知道几种?
空间复杂度:
求斐波那契数列(Fibonacci Numbers)算法居然有9种,你知道几种?

算法四: 空间优化的动态规划(Space Optimized)

算法二时间复杂度和空间复杂度都是求斐波那契数列(Fibonacci Numbers)算法居然有9种,你知道几种?,但由于求斐波那契数列(Fibonacci Numbers)算法居然有9种,你知道几种?只和求斐波那契数列(Fibonacci Numbers)算法居然有9种,你知道几种?求斐波那契数列(Fibonacci Numbers)算法居然有9种,你知道几种?有关,因此可以使用滚动数组思想把空间复杂度优化成求斐波那契数列(Fibonacci Numbers)算法居然有9种,你知道几种?。代码如下所示:

class Solution { public int fib(int n) { if (n < 2) { return n; } int p = 0, q = 0, r = 1; for (int i = 2; i <= n; ++i) { p = q; q = r; r = p + q; } return r; } }

复杂度分析:

时间复杂度:求斐波那契数列(Fibonacci Numbers)算法居然有9种,你知道几种?
空间复杂度:
求斐波那契数列(Fibonacci Numbers)算法居然有9种,你知道几种?

算法五:矩阵幂

使用矩阵快速幂的方法可以降低时间复杂度。

首先我们可以构建这样一个递推关系:

求斐波那契数列(Fibonacci Numbers)算法居然有9种,你知道几种?

因此:

求斐波那契数列(Fibonacci Numbers)算法居然有9种,你知道几种?

令:

求斐波那契数列(Fibonacci Numbers)算法居然有9种,你知道几种?

因此只要我们能快速计算矩阵求斐波那契数列(Fibonacci Numbers)算法居然有9种,你知道几种?求斐波那契数列(Fibonacci Numbers)算法居然有9种,你知道几种?次幂,就可以得到求斐波那契数列(Fibonacci Numbers)算法居然有9种,你知道几种?的值。如果直接求取求斐波那契数列(Fibonacci Numbers)算法居然有9种,你知道几种?,时间复杂度是求斐波那契数列(Fibonacci Numbers)算法居然有9种,你知道几种?

欢迎大家来到IT世界,在知识的湖畔探索吧!class Solution { public static int fib(int n) { int F[][] = new int[][]{{1, 1}, {1, 0}}; if (n == 0) { return 0; } power(F, n - 1); return F[0][0]; } /* Helper function that multiplies 2 matrices F and M of size 2*2, and puts the multiplication result back to F[][] */ public static void multiply(int F[][], int M[][]) { int x = F[0][0] * M[0][0] + F[0][1] * M[1][0]; int y = F[0][0] * M[0][1] + F[0][1] * M[1][1]; int z = F[1][0] * M[0][0] + F[1][1] * M[1][0]; int w = F[1][0] * M[0][1] + F[1][1] * M[1][1]; F[0][0] = x; F[0][1] = y; F[1][0] = z; F[1][1] = w; } /* Helper function that calculates F[][] raise to the power n and puts the result in F[][] Note that this function is designed only for fib() and won't work as general power function */ public static void power(int F[][], int n) { int i; int M[][] = new int[][]{{1, 1}, {1, 0}}; // n - 1 times multiply the matrix to {{1,0},{0,1}} for (i = 2; i <= n; i++) { multiply(F, M); } } }

复杂度分析

时间复杂度:求斐波那契数列(Fibonacci Numbers)算法居然有9种,你知道几种?,在于计算矩阵的求斐波那契数列(Fibonacci Numbers)算法居然有9种,你知道几种?次幂。
空间复杂度:
求斐波那契数列(Fibonacci Numbers)算法居然有9种,你知道几种?

算法六:矩阵快速幂(分治快速幂运算)

算法五的时间复杂度是求斐波那契数列(Fibonacci Numbers)算法居然有9种,你知道几种?,但可以降低到求斐波那契数列(Fibonacci Numbers)算法居然有9种,你知道几种?,因为可以使用分治算法加快幂运算,加速这里求斐波那契数列(Fibonacci Numbers)算法居然有9种,你知道几种?的求取。如下所示:

class Solution { public int fib(int n) { if (n < 2) { return n; } int[][] q = {{1, 1}, {1, 0}}; int[][] res = pow(q, n - 1); return res[0][0]; } public int[][] pow(int[][] a, int n) { int[][] ret = {{1, 0}, {0, 1}}; while (n > 0) { if ((n & 1) == 1) { ret = multiply(ret, a); } n >>= 1; a = multiply(a, a); } return ret; } public int[][] multiply(int[][] a, int[][] b) { int[][] c = new int[2][2]; for (int i = 0; i < 2; i++) { for (int j = 0; j < 2; j++) { c[i][j] = a[i][0] * b[0][j] + a[i][1] * b[1][j]; } } return c; } }

复杂度分析

时间复杂度:求斐波那契数列(Fibonacci Numbers)算法居然有9种,你知道几种?
空间复杂度:
求斐波那契数列(Fibonacci Numbers)算法居然有9种,你知道几种?,如果认为函数栈也算空间的话。

算法七:斐波那契数新算法求解

这是另外一种求解斐波那契数的算法,证明如下:

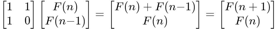
1. 矩阵形式的通项

求斐波那契数列(Fibonacci Numbers)算法居然有9种,你知道几种?

不妨令:求斐波那契数列(Fibonacci Numbers)算法居然有9种,你知道几种?求斐波那契数列(Fibonacci Numbers)算法居然有9种,你知道几种?求斐波那契数列(Fibonacci Numbers)算法居然有9种,你知道几种?

证明:

求斐波那契数列(Fibonacci Numbers)算法居然有9种,你知道几种?

采用数学归纳法进行证明,

1. 当求斐波那契数列(Fibonacci Numbers)算法居然有9种,你知道几种?时:

求斐波那契数列(Fibonacci Numbers)算法居然有9种,你知道几种?显然成立!

2. 当求斐波那契数列(Fibonacci Numbers)算法居然有9种,你知道几种?时:

求斐波那契数列(Fibonacci Numbers)算法居然有9种,你知道几种?

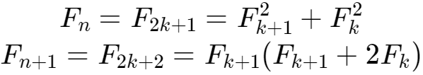
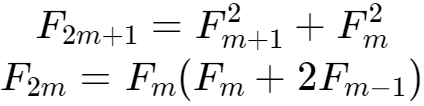
2. 偶数项和奇数项

因为求斐波那契数列(Fibonacci Numbers)算法居然有9种,你知道几种?,则有:

求斐波那契数列(Fibonacci Numbers)算法居然有9种,你知道几种?

所以有:

求斐波那契数列(Fibonacci Numbers)算法居然有9种,你知道几种?

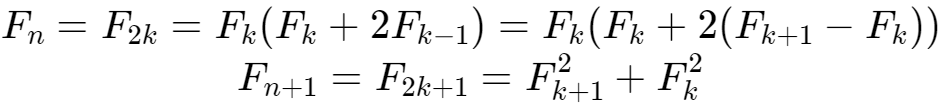
3. 矩形形式求解Fib(n)

因为涉及到矩阵幂次,考虑到数的幂次的递归解法:

求斐波那契数列(Fibonacci Numbers)算法居然有9种,你知道几种?为奇数:求斐波那契数列(Fibonacci Numbers)算法居然有9种,你知道几种?

求斐波那契数列(Fibonacci Numbers)算法居然有9种,你知道几种?

求斐波那契数列(Fibonacci Numbers)算法居然有9种,你知道几种?为偶数:求斐波那契数列(Fibonacci Numbers)算法居然有9种,你知道几种?

求斐波那契数列(Fibonacci Numbers)算法居然有9种,你知道几种?

根据上述公式,我们可以写出如下代码:

欢迎大家来到IT世界,在知识的湖畔探索吧! public static int MAX = 1000; public static int f[]; // Returns n'th fibonacci number using // table f[] public static int fib(int n) { if (n == 0) { return 0; } if (n == 1 || n == 2) { return (f[n] = 1); } // If fib(n) is already computed if (f[n] != 0) { return f[n]; } int k = (n & 1) == 1 ? (n + 1) / 2 : n / 2; // Applying above formula [Note value n&1 is 1 if n is odd, else 0. f[n] = (n & 1) == 1 ? (fib(k) * fib(k) + fib(k - 1) * fib(k - 1)) : (2 * fib(k - 1) + fib(k)) * fib(k); return f[n]; }

复杂度分析

时间复杂度:求斐波那契数列(Fibonacci Numbers)算法居然有9种,你知道几种?
空间复杂度:
求斐波那契数列(Fibonacci Numbers)算法居然有9种,你知道几种?

算法八:通项公式(Using Formula)

斐波那契数求斐波那契数列(Fibonacci Numbers)算法居然有9种,你知道几种?是齐次线性递推,根据递推方程求斐波那契数列(Fibonacci Numbers)算法居然有9种,你知道几种?,可以写出这样的特征方程:

求斐波那契数列(Fibonacci Numbers)算法居然有9种,你知道几种?

求得求斐波那契数列(Fibonacci Numbers)算法居然有9种,你知道几种?

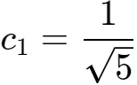
设通解为求斐波那契数列(Fibonacci Numbers)算法居然有9种,你知道几种?,代入初始条件求斐波那契数列(Fibonacci Numbers)算法居然有9种,你知道几种?求斐波那契数列(Fibonacci Numbers)算法居然有9种,你知道几种?,得

求斐波那契数列(Fibonacci Numbers)算法居然有9种,你知道几种?求斐波那契数列(Fibonacci Numbers)算法居然有9种,你知道几种?

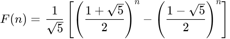
因此斐波那契数的通项公式如下:

求斐波那契数列(Fibonacci Numbers)算法居然有9种,你知道几种?

得到通项公式之后,就可以通过公式直接求解第求斐波那契数列(Fibonacci Numbers)算法居然有9种,你知道几种?项。

class Solution { public int fib(int n) { double sqrt5 = Math.sqrt(5); double fibN = Math.pow((1 + sqrt5) / 2, n) - Math.pow((1 - sqrt5) / 2, n); return (int) Math.round(fibN / sqrt5); } }

复杂度分析

时间复杂度:求斐波那契数列(Fibonacci Numbers)算法居然有9种,你知道几种?
空间复杂度:
求斐波那契数列(Fibonacci Numbers)算法居然有9种,你知道几种?

算法九:暴力法

如果不需要求解特别大的

欢迎大家来到IT世界,在知识的湖畔探索吧!class Solution { public: int fib(int n) { int nums[31]={0,1,1,2,3,5,8,13,21,34,55,89,144,233,377,610,987,1597,2584,4181,6765,10946,17711,28657,46368,75025,,,,,}; return nums[n]; } };

复杂度分析

时间复杂度:求斐波那契数列(Fibonacci Numbers)算法居然有9种,你知道几种?
空间复杂度:
求斐波那契数列(Fibonacci Numbers)算法居然有9种,你知道几种?

总结

通过上述,我们使用了9种算法来求解斐波那契数列,这9种方法综合了递归、迭代、数学等各方面知识,值得认真学习!

免责声明:本站所有文章内容,图片,视频等均是来源于用户投稿和互联网及文摘转载整编而成,不代表本站观点,不承担相关法律责任。其著作权各归其原作者或其出版社所有。如发现本站有涉嫌抄袭侵权/违法违规的内容,侵犯到您的权益,请在线联系站长,一经查实,本站将立刻删除。 本文来自网络,若有侵权,请联系删除,如若转载,请注明出处:https://itzsg.com/111473.html

(0)
上一篇 1天前
下一篇 1天前

相关推荐

发表回复

您的邮箱地址不会被公开。 必填项已用 * 标注

联系我们YX

mu99908888

在线咨询: 微信交谈

邮件:itzsgw@126.com

工作时间:时刻准备着!

关注微信